OE Header

September, 2025

Mark Your Calendar!

Dates to Remember:

2nd - PTO Meeting 6pm

2nd-5th Starts with Hello Week-See information below

2nd-Wear Green

3rd-Wear Yellow

4th-Wear Blue

5th-Wear Red

10th - Choose Kind Shirt day

17th - College, Career or Military Shirt Day; PTO Spirit Night at Canes

19th - Gold, Fight, Win for Pediatric Cancer- see below for shirt info

24th - Choose Kind Shirt Day

27th - Academic Carnival 5:30p-7p

Have you filled out your Nurse Consent form yet? Check your email for details. Click HERE to fill out the form!

Have you filled out your Counselor Consent form yet? Check your email for details. Click HERE to fill out the form!

Attendance Matters!

attendance matters

Cafeteria Info:

FREE BREAKFAST EVERY DAY FOR ALL STUDENTS!

breakfast menu

Put money in your child's lunch account at www.schoolcafe.com/HUMBLEISD

Kinder-5th Grade Lunch Menu:

K5 lunch

Pre-Kinder Lunch Menu

PK Lunch

CAMPUS REMINDERS

Hello from your School Counselor Mrs. Felts!

Oaks Elementary will participate in "Start with Hello Week" again this year.

We have some fun and easy dress up days to help everyone stop and really think about treating EVERYONE with Kindness.

Right when we come back from Labor Day Weekend-we start our dress up days on Tuesday, Spet. 2, 2025.

"Start with Hello Week", is literally saying "HELLO",  to people we see.

This week reminds our students and staff that we want everyone to have a sense of belonging. We also want to help our new students and staff feel connected to their new school!

My hope is that everyone feels the power of positive relationships-this week and always!

starts with hello
  • Need to check out your student? Please do so by 2:45!

  • Official Attendance time is 9:10 this year! Please make sure your child is present on time and schedule appointments after this time!

  • Buy your Choose Kind shirt HERE!

  • Put your child's name on the Marquee for their Birthday HERE!

Our Choose Kind Shirt Design:

Choose Kind Shirt

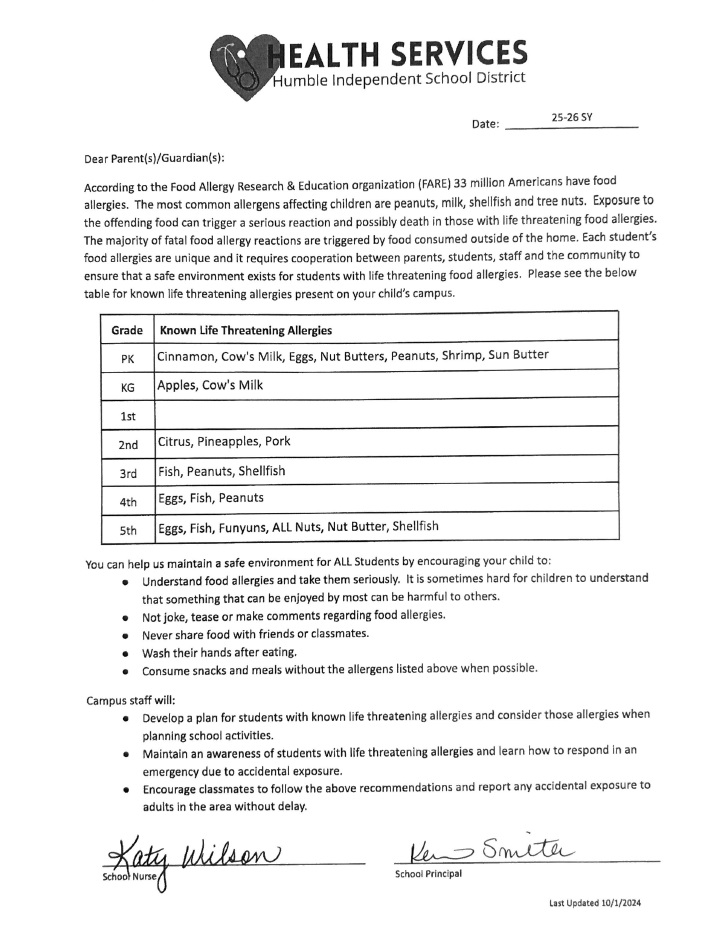
A Note from our Nurse

Allergies
watch dogs

Watch D.O.G.S., (Dads of Great Students) are fathers, grandfathers, uncles, and other father-figures who volunteer for at least one day each year at our school. During the day, WatchDOGS may read and work on flash cards with students, play at recess, eat lunch with students, watch the school entrances and hallways, assist with traffic flow and any other assigned activities. If you are interested in being part of WatchDOGS, make sure you fill out a Volunteer Application.

Oaks PTO Information

PTO Meeting
Canes

Community Info

Gold Fight Win day is September 19th! All proceeds benefit kids with pediatric cancer. You can buy a shirt at the Kingwood or Atascocita Ace Hardware as well as Pretty Little Things.

GFW
Suicide Awareness Walk

Email: oe_connect@humbleisd.net
Website: www.humbleisd.net/oe
Location: 5858 Upper Lake Drive
Phone: (281) 641-1890
Twitter: @HumbleISD_OE
Principal: Kerri Smith
Assistant Principal: Roslyn George